Cellulosederivate
Allgemein
Cellulosederivate gehören neben den Celluloseregeneraten zu den cellulosebasierten Polymerwerkstoffen und werden weiter in die zwei Hauptgruppen der Celluloseester und Celluloseether aufgeteilt. Celluloseether werden hauptsächlich als Additive zur Viskositätsstabilisierung oder als Wasserbinder in Baustoffen, Klebstoffen, Kosmetika, Waschmittel, Farben oder in der Papierindustrie eingesetzt. Des Weiteren werden wasserlösliche Cellulosederivate in der Lebensmittelindustrie als Stabilisatoren, Bindemittel, Verdickungsmittel und Emulgatoren verwendet. Celluloseester werden überwiegend als thermoplastische Formmassen im Kunststoffbereich eingesetzt.
Struktur
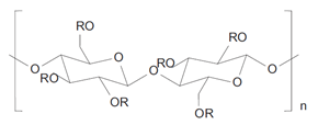
Celluloseether werden durch die Umsetzung der Cellulose mit Chlorverbindungen oder Epoxiden erzeugt. Je nach Rest der glucosidischen Ether entstehen verschiedene Celluloseether, die in der Tabelle 1 aufgelistet sind.

| Rest R | Polymer | Celluloseether (Cell-O-R) |
|---|---|---|
| CH3 | Cell-O-CH3 | Methylcellulose (MC) |
| C2H5 | Cell-O-C2H5 | Ethylcellulose (EC) |
| C3H6OH | Cell-O-C3H6OH | Hydroxypropylcellulose (HPC) |
| CH2COOH | Cell-O-CH2COOH | Carboxymethylcellulose (CMC) |
| H2C- | Cell-O-CH2-Benzolring | Benzylcellulose (BC) |
Tabelle 1: Übersicht über den Aufbau der wichtigsten Celluloseether
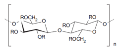
Celluloseester werden durch die Umesterung der Cellulose mit organischen und anorganischen Säuren erzeugt. Als organische Säure wird insbesondere die Essigsäure verwendet, die zu den Celluloseacetaten führt. Auch andere organische Säuren wie z. B. Phthalsäure, Propionsäure oder Buttersäure können verwendet werden. Als anorganische Säure kommt Salpetersäure zum Einsatz. Bei der Behandlung der Cellulose mit der „Nitriersäure“, einem Gemisch von Salpeter- und Schwefelsäure, entstehen Cellulosenitrate. Je nach den Esterresten entstehen verschiedene Celluloseester, die in der Tabelle 2 aufgelistet sind.

| Rest R | Polymer | Celluloseether (Cell-O-R) |
|---|---|---|
| CH3 | Cell-CH3 | Celluloseacetat (CA) |
| C2H5 | Cell-C2H5 | Cellulosepropionat (CP) |
| C3H7OH | Cell-C3H7OH | Cellulosebutyrat (CB) |
| NO2 | Cell-NO2 | Cellulosenitrat (CN) |
| CH3 und C2H5 | Cell- CH3-C2H5 | Celluloseacetatpropionat (CAP) |
| CH3 und C3H7 | Cell- CH3-C3H7 | Celluloseacetatbutyrat (CAB) |
Tabelle 2: Übersicht über den Aufbau der wichtigsten Celluloseester
Eigenschaften
Die Cellulosederivate haben aufgrund einer unterschiedlichen Mikrostruktur (Substituent, Substitutionsgrad, Taktizität, Molekulargewicht) und der eingesetzten Art und Menge der Weichmacher ein sehr variables mechanisches Eigenschaftsprofil. Celluloseester zeichnen sich allgemein durch hohe mechanische Festigkeit bei gleichzeitig hoher Zähigkeit aus. Die Wärmeformbeständigkeit der Cellulosederivate ist ebenfalls von der Art und Menge der eingesetzten Weichmacher abhängig. Celluloseether sind je nach Acetylierungsgrad (DS) und Ethergruppe löslich in Wasser oder auch in organischen Lösungsmitteln. Wichtige Vorteile der Celluloseether sind ihre Ungiftigkeit und ihre hohe biologische Abbaubarkeit.
Herkunft/Quellen
Grundlage zur Herstellung von Derivaten sind hochreine Cellulose, die als Polysaccharid zur Gruppe der Kohlenhydrate gehört. Sie kommt in den Zellwänden aller höheren Pflanzen in unterschiedlichen Mengen vor. Die Rohstoffquellen für die industrielle Veresterung der Cellulose sind insbesondere Baumwoll-, Bast- und Blattfasern, während die Cellulosefasern für die Papierindustrie neben Baumwolle überwiegend auf Holz, Eukalyptus oder Bambus basieren.
Verarbeitung
Nach der Weichmachung können Celluloseester thermoplastisch über das Spritzgießen und Folienextrusion verarbeitet werden. Für Verpackungsfolien werden Weichmacher wie Triacetin (Glycerintriacetat, teilbiobasiert) eingesetzt, die für den Lebensmittelbereich zugelassen sind. Die Celluloseacetate-Folien weisen eine hohe optische Klarheit, ein gutes antistatisches Verhalten und eine leichte Verarbeitbarkeit beim Kleben auf. Zur Verbesserung der Siegel- und Barriereeigenschaften können die Folien vielseitig beschichtet und kaschiert werden.
Nachhaltigkeit
Celluloseester sind zu maximal 50 – 60 % biobasiert, da bei der Herstellung technische Säuren und bis zu 25 % Weichmacher verwendet werden, die petrochemisch basiert sind. Werden die technischen Säuren durch biobasierte Säuren ersetzt, können Celluloseester mit höherem Anteil an nachwachsenden Rohstoffen erzeugt werden.
Zertifikate
Die Folien auf dem Cellulosebasis NatureFlex™ von Futamura sind nach DIN EN 13432 zertifiziert und damit geeignet für die industrielle Kompostierung. Sie sind außerdem nach dem OK Compost Home-Standard von TÜV Austria für die Heim-Kompostierung zertifiziert. Die Folien von Clarifoil und FKuR sind gemäß DIN EN 13432 und ASTM D6400 zertifiziert.
Recycling
Während es für Papier, Pappe und Karton Recyclingsysteme gibt, sind diese bei cellulosebasierten Biokunststoffen noch nicht etabliert. Abfälle aus der eigenen Produktion werden durch die Hersteller recycelt, Post-Consumer-Produkte auf Cellulosebasis werden energetisch verwertet.
Substituenten für
Cellulosediacetat (CA) kann als Ersatz für PS verwendet werden. Die NatureFlex™-Folien werden als Ersatz für PET-Folien betrachtet.